Dear Editor,
With a tuberculosis (TB) prevalence of over 20 cases per 100 000 individuals, Portugal is one of the countries with the highest TB burden in the European Union.1, 2, 3 From 1999 to 2011, TB incidence in Portugal showed a consistent decrease of 4.3% per year, leading to a total decline of 52.1%2 and to the disappearance of high incidence regions (≥50 cases/100 000 habitants).4 Despite this progressive decline, the country's heterogeneity is remarkable and the districts of Oporto, Lisbon and Setubal still have an intermediate incidence of Tuberculosis (>20 cases/100 000 and <50 cases/100 000 population). Couceiro et al.3 showed that high risk of TB in some areas of Portugal was related to the high prevalence of HIV/AIDS, incarceration, nonstandard and/or crowded accommodation, unemployment and immigrant populations from countries with high TB incidence. A concentration of young adults might also contribute to the increase of the number of TB cases since the incidence is highest in individuals aged 25–44 years.3, 4, 5
Realizing the importance of the social determinants in the control of TB, the authors wanted to characterize the profile of the Portuguese regions with higher incidence rates. The analyzed demographic and socio-economic factors included the population density, proportion of people at working age (15–64 years old), proportion of immigrants and unemployment rate and the TB incidence between 2002 and 2012 in Greater Oporto, Greater Lisbon and Setúbal Peninsula.
The territorial unit used was NUTS 3 (Nomenclatura das Unidades Territoriais para Fins Estatísticos). New TB cases were identified from the tuberculosis national surveillance system; unemployment rate values were obtained from the Employment and Vocational Training Institute reports and the remaining data were collected from National Statistics Institute database. The number of immigrants was only available from 2008 to 2012.
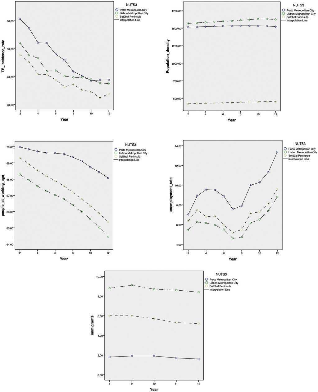
Greater Oporto presented the highest incidence of TB, followed by Greater Lisbon and Setúbal Peninsula. Until 2008, the decline of the incidence rate was higher in Oporto (81.16–37.69/100 000) than in Lisbon (63.82–35.10/100 000) and Setúbal (55.62–27.73/100 000). From that time onwards, the incidence curves became less pronounced and the three regions assumed closer values (34.39/100 000 in Setubal, 39.52/100 000 in Lisbon and 43.68/100 000 in Oporto) (Figure 1). Also, from 2008 onwards, the decline of people of working age started to accelerate and the unemployment rate, which had been decreasing since 2002, showed a trend variation and started to increase.
Figure 1. Variation of tuberculosis incidence rate, population density, proportion of people at working age and unemployment rate between 2002 and 2012, and proportion of immigrants between 2008 and 2012, in Greater Oporto, Greater Lisbon and Setúbal Peninsula.
Regarding Oporto area, we can see that during the period studied the population density remained stable (1513.8–1522.5 population/km2), and the proportion of people of working age (69.9–68.1%) and the proportion of immigrants (1.8–1.6%) decreased while the unemployment rate (7.0–13.4% of the labor force) increased. The Lisbon area presented the highest population density (1568.1–1625.4 population/km2) with a definite increase over the years and the highest proportion of immigrants (8.8–8.4%). The proportion of people of working age (68.3–64.5%) and unemployment rate (5.5–8.8%) showed the lowest values for the three regions studied. The Setúbal area, although presenting the lowest population density (422.1–452.6 population/km2), exhibited social and demographic characteristics very similar to those of Lisbon – the proportion of people of working age (69.3–65.4%) was quite close to that in Lisbon and the proportion of immigrants (6.0–5.2%) although not as high as in Lisbon was much higher than in Oporto. The unemployment rate (6.4–9.6%) however was higher than the one observed in Lisbon.
It is well known that the TB burden is strongly linked to socio-economic factors. From 2008 to 2012 there has been a slowing down in the decrease in the Portuguese TB incidence rate, in which the European and the national economic crisis have had an important role. In order to reach long-term TB control targets, efforts to address TB risk factors and social determinants are needed.6, 7 When looking at the three areas with the highest incidence in Portugal – all urban centers – we can see that they have different social profiles. Despite being the second largest urban center of the country, Oporto presents a lower number of individuals from qualified socio-economic groups with higher education8 and a higher unemployment rate than Lisbon. The latter is the main entry point for immigrants, many of them from sub-Saharan African countries with high TB incidence. Although less populated, Setúbal presents a considerable proportion of immigrants and a high unemployment rate due to its proximity to Lisbon. In these settings, TB control requires social, economic and environmental interventions that should be tailored according to each region profile: in Oporto the unemployed population must be addressed whereas in Lisbon and Setúbal the immigrant population is more relevant.
Conflicts of interestThe authors have no conflicts of interest to declare.
Corresponding author. inesfranco_@hotmail.com






